Métodos de ensaio
Sequência de premissas para manipulação e preparo do bambu para realização de ensaios físicos e mecânicos.
Esta norma prescreve os métodos para determinação das propriedades físicas e mecânicas do bambu em estruturas. Abaixo estão os principais ensaios abordados.
Sequência de premissas para manipulação e preparo do bambu para realização de ensaios físicos e mecânicos.
Este método determina o teor de umidade que deve acompanhar os ensaios físicos e mecânicos do bambu.
Este método de ensaio consiste na determinação da massa por unidade de volume da parede do colmo de bambu.
Determinação da retração (diminuição de dimensões) do diâmetro externo, da espessura da parede e do comprimento.
Obtenção da resistência e módulo de elasticidade à compressão paralela às fibras em corpos de prova de colmos.
Flexão em colmos de bambu para verificação do seu comportamento e obtenção da resistência e módulo de elasticidade à flexão.
Obtenção da resistência ao cisalhamento paralelo às fibras. Determina-se a resistência por deslocamento relativo.
Determinação da resistência à tração paralela às fibras em corpos de prova retirados de partes do colmo de bambu.
Sequência de premissas para manipulação e preparo do bambu para realização de ensaios físicos e mecânicos.
| Termos | Definições |
|---|---|
| Colmo de bambu | Talo lenhoso, cilíndrico, oco ou raramente sólido, com nós e entrenós. |
| Corpo de prova | Parte do colmo de bambu de dimensões e formas definidas para a realização de ensaios. |
| Nó | Região do colmo de bambu onde se inserem os ramos e folhas e onde se localiza o diafragma. |
| Entrenó ou internó | Parte do colmo de bambu entre dois nós consecutivos. |
| Diafragma | Divisão transversal interna na região do nó. |
| Massa constante (massa seca) | Massa obtida após secagem em estufa a (103 ± 2) °C, até que em duas pesagens sucessivas, realizadas com intervalo de 2 h, não haja variação superior a 0,5% da última massa determinada. |
O responsável pela coleta deve identificar as espécies, conheça o grau de maturação e tenha conhecimento do método de corte.
Os colmos selecionados para ensaio devem estar maduros e livres de defeitos e devem ser representativos da média dos colmos de bambu dominantes da localidade. Colmos danificados, trincados ou atacados por insetos devem ser descartados.
O número de colmos deve ser escolhido aleatoriamente nos locais de coleta, sendo no mínimo seis colmos.
As amostras devem ser identificadas e protegidas contra o ataque de insetos e fungos, e contra secagem rápida e descontrolada.
Os colmos devem ser divididos em três partes iguais (base, meio e topo). Não podem ser utilizadas as extremidades (primeiro e último entrenó).
A aparelhagem necessária para a realização dos ensaios de caracterização física e mecânica deve ser a seguinte:
A precisão mínima dos instrumentos de medição deve ser de:
A precisão da balança deve ser de:
Os corpos de prova para os diversos ensaios devem ser cortados da vara segundo o tipo de ensaio a ser feito e identificados adequadamente com marcador permanente.
A sequência dos ensaios deve ser tal que elimine o máximo possível a influência de um ensaio sobre o outro. A determinação das propriedades físicas (teor de umidade, massa específica, retração) e das propriedades mecânicas (compressão, tração, flexão e cisalhamento) deve ser realizada em corpos de prova distintos.
Os resultados dos ensaios devem ser apresentados em relatório que contenha, no mínimo, as seguintes informações:
Este método de ensaio consiste na determinação do teor de umidade do bambu que deve acompanhar os ensaios físicos e mecânicos, por pesagem, da perda de massa de um corpo de prova por secagem até massa constante.
Balança e estufa, conforme descrito na seção Métodos de Ensaio.
Para determinação do teor de umidade devem ser utilizados corpos de prova de 2,5 cm de comprimento, retirados da seção transversal do colmo de bambu, conforme Figura 1.
Figura 1: Corpo de prova para ensaio de teor de umidade
O corpo de prova deve ser pesado imediatamente após sua preparação, com a precisão estabelecida na seção Métodos de Ensaio, obtendo-se a massa inicial (mi).
Em seguida, o corpo de prova deve ser colocado em estufa a (103 ± 2) °C até atingir massa constante (ms).
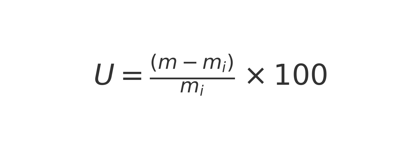
O teor de umidade (H) de cada corpo de prova deve ser calculado como a perda de massa, expressa em percentagem da massa seca em estufa, de acordo com a seguinte equação:
Onde, mi é a massa inicial do corpo de prova, expressa em gramas (g) e m é a massa seca (constante) do corpo de prova, expressa em gramas (g).
O resultado deve ser expresso em porcentagem, com uma casa decimal.
Este método de ensaio consiste na determinação da massa por unidade de volume da parede do colmo de bambu, que depende do teor de umidade do colmo. Determina-se da massa do corpo de prova por pesagem e do seu volume por meio da medição das suas dimensões.
Balança, estufa e instrumentos de medição dimensional, conforme descrito na seção Métodos de Ensaio.
Para determinação da massa volumétrica devem ser utilizados corpos de prova de 2,5 cm de comprimento, retirados da seção transversal do colmo de bambu.
O corpo de prova deve ser pesado e ter suas dimensões (diâmetro externo, espessura da parede e comprimento) medidas, com a precisão estabelecida na seção Métodos de Ensaio, obtendo-se a massa (m) e o volume (V).
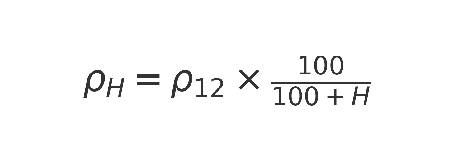
A determinação da massa volumétrica deve ser feita para um teor de umidade de 12%. Quando o teor de umidade (H) do corpo de prova for diferente de 12%, a massa volumétrica deve ser corrigida pela seguinte equação:
Onde, ρH é a massa volumétrica para um teor de umidade H, expressa em quilogramas por metro cúbico (kg/m3); H é o teor de umidade do corpo de prova, expresso em porcentagem (%); ρ12 é a massa volumétrica para um teor de umidade de 12%, expressa em quilogramas por metro cúbico (kg/m3).
A massa volumétrica (ρH) do corpo de prova, para um teor de umidade H, é dada pela seguinte equação:
Onde, m é a massa do corpo de prova, expressa em gramas (g); V é o volume do corpo de prova, expresso em milímetros cúbicos (mm3).
Exprimir o resultado até o inteiro mais próximo, em quilogramas por metro cúbico (kg/m3). Calcular, com precisão de 10 kg/m3, a massa volumétrica a 12% de umidade (ρ12).
Este método de ensaio consiste na determinação da retração (diminuição de dimensões) do diâmetro externo, da espessura da parede e do comprimento longitudinal de partes representativas do colmo de bambu, quando ele passa do estado saturado até o estado seco (massa constante).
Estufa e instrumentos de medição dimensional, conforme descrito na seção Métodos de Ensaio.
Para determinação da retração devem ser utilizados corpos de prova de 2,5 cm de comprimento, retirados da seção transversal do colmo de bambu.
Os corpos de prova devem ser submersos em água até a saturação (massa constante). Após a saturação, devem ser medidos o diâmetro externo, a espessura da parede e o comprimento longitudinal, com a precisão estabelecida na seção Métodos de Ensaio, obtendo-se as dimensões iniciais (L1).
Em seguida, os corpos de prova devem ser colocados em estufa a (103 ± 2) °C até atingir massa constante (secos). Após a secagem, os corpos de prova devem ser medidos novamente, obtendo-se as dimensões finais (L2).
A retração (R), em porcentagem, do estado saturado em equilíbrio com a atmosfera para a condição seca em estufa, com uma casa decimal, é dada por:
Onde, L1 é a dimensão do corpo de prova saturado, expressa em milímetros (mm); L2 é a dimensão do corpo de prova seco, expressa em milímetros (mm).
Este método de ensaio consiste na obtenção da resistência e módulo de elasticidade à compressão paralela às fibras em corpos de prova de colmos de bambu. Determina-se a resistência à compressão e módulo de elasticidade de corpos de prova extraídos de varas de bambu pela aplicação de força distribuída em suas extremidades.
Máquina universal de ensaios e instrumentos de medição dimensional, conforme descrito na seção Métodos de Ensaio.
O corpo de prova deve ser um segmento de colmo de bambu com comprimento igual ao diâmetro externo (D), com um comprimento mínimo de 15 cm. O corpo de prova deve ter seção transversal anelar e as extremidades devem ser planas e perpendiculares ao eixo longitudinal. O corpo de prova deve estar livre de nós. Para colmos com diâmetros superiores a 15 cm, o comprimento do corpo de prova pode ser limitado a 15 cm.
Para determinação da área da seção transversal do corpo de prova, deve-se medir o diâmetro externo (D) e a espessura da parede (t) do colmo, com a precisão estabelecida na seção Métodos de Ensaio. As medições devem ser feitas em quatro posições, a cada 90°, nas duas extremidades do corpo de prova. A área da seção transversal deve ser calculada como a média das oito medições.
O diâmetro externo (D) e a espessura da parede (t) devem ser medidos com paquímetro. O diâmetro externo deve ser medido em duas direções ortogonais (D1 e D2) e a espessura da parede deve ser medida em quatro pontos (t1, t2, t3 e t4), conforme a Figura 2.

Figura 2: Medição do diâmetro externo e da espessura da parede
Para o cálculo do módulo de elasticidade à compressão, deve ser utilizado um sistema de medição de deformação com precisão de 0,001 mm. A base de medição deve ser de, no mínimo, metade do comprimento do corpo de prova.
O diâmetro externo (D) e a espessura da parede (t) devem ser medidos com paquímetro. O diâmetro externo deve ser medido em duas direções ortogonais (D1 e D2) e a espessura da parede deve ser medida em quatro pontos (t1, t2, t3 e t4), conforme a Figura 2.
Para o cálculo do módulo de elasticidade à compressão, deve ser utilizado um sistema de medição de deformação com precisão de 0,001 mm. A base de medição deve ser de, no mínimo, metade do comprimento do corpo de prova.
A amostra deve ser colocada centralizada na máquina de ensaios. Para acomodação do corpo de prova, uma pequena carga de não mais de 1 kN deve ser inicialmente aplicada e relaxada. Durante o ensaio, o carregamento deve ser aplicado continuamente, de forma que a placa móvel da máquina de ensaio tenha uma velocidade constante de, aproximadamente, 0,01 mm/s. A carga máxima medida pelo equipamento de ensaio deve ser registrada.
Para o cálculo do módulo de elasticidade, a carga deve ser aplicada até 60% da carga máxima estimada (Pest). Recomenda-se que o ensaio seja realizado em três ciclos de carga e descarga. No primeiro ciclo, a carga deve ser aplicada até 60% da Pest e, em seguida, descarregada até 10% da Pest. No segundo e terceiro ciclos, a carga deve ser aplicada e descarregada da mesma forma. O módulo de elasticidade deve ser calculado com base nos dados do terceiro ciclo.
A área da seção transversal (A) do corpo de prova, expressa em milímetros quadrados (mm2), é dada pela seguinte equação:
Diâmetro externo médio do colmo:
Espessura média da parede do colmo:
A resistência à compressão paralela às fibras (fc0), expressa em megapascals (MPa), é dada pela seguinte equação:
Onde, Pmax é a carga máxima de compressão, expressa em newtons (N); A é a área da seção transversal do corpo de prova, expressa em milímetros quadrados (mm2).
A seguir um exemplo de cálculo para resistência à compressão utilizando valores hipotéticos:

Carga máxima de compressão:
Área da seção transversal:
O módulo de elasticidade à compressão paralela às fibras (Ec0), expresso em megapascals (MPa), é dado pela seguinte equação:
Onde, P60% é a carga correspondente a 60% da carga máxima estimada, expressa em newtons (N); P10% é a carga correspondente a 10% da carga máxima estimada, expressa em newtons (N); ΔL é a deformação correspondente ao incremento de carga (P60% - P10%), expressa em milímetros (mm); L é a base de medição da deformação, expressa em milímetros (mm); A é a área da seção transversal do corpo de prova, expressa em milímetros quadrados (mm2).
Carga correspondente a 60% da carga máxima estimada:
Carga correspondente a 10% da carga máxima estimada:
Deformação correspondente ao incremento de carga:
Base de medição da deformação:
Área da seção transversal:
Este método de ensaio consiste na flexão em colmos de bambu para verificação do seu comportamento e obtenção da resistência e módulo de elasticidade à flexão. Realiza-se o ensaio de flexão de quatro pontos, com obtenção da curva carga-deflexão vertical
Para a realização do ensaio é necessário um equipamento capaz de medir a carga com precisão de 1% da carga máxima esperada, e deformação com precisão de 1 mm. Bem como, uma sistema capaz de assegurar a flexão do colmo de quatro pontos, aplicando uma carga no meio do vão. Para evitar o esmagamento do colmo, as cargas e as reações nos apoios devem ser aplicadas próximas aos nós, por meio de dispositivo de madeira, conforme a Figura 3. Nos apoios deve ser permitida a rotação.
Figura 3: Esquema do ensaio de flexão de quatro pontos
O corpo de prova deve ser um segmento de colmo de bambu com comprimento suficiente para o ensaio. O corpo de prova deve estar livre de defeitos que possam influenciar os resultados do ensaio.
Para determinação do momento de inércia da seção transversal, deve-se medir o diâmetro externo (D) e a espessura da parede (t) do colmo, com a precisão estabelecida na seção Métodos de Ensaio. As medições devem ser feitas em quatro posições, a cada 90°, nas duas extremidades do corpo de prova. O momento de inércia deve ser calculado como a média das oito medições.
A amostra deve ser posicionada no equipamento de ensaio, conforme a Figura 1. A carga deve ser aplicada nos dois pontos centrais, com velocidade de carregamento constante de, aproximadamente, 0,1 mm/s. A carga máxima (Pmax) e a deflexão correspondente (δ) devem ser registradas.
Para o cálculo do módulo de elasticidade, a carga deve ser aplicada até 50% da carga máxima estimada (Pest). Recomenda-se que o ensaio seja realizado em três ciclos de carga e descarga. No primeiro ciclo, a carga deve ser aplicada até 50% da Pest e, em seguida, descarregada até 10% da Pest. No segundo e terceiro ciclos, a carga deve ser aplicada e descarregada da mesma forma. O módulo de elasticidade deve ser calculado com base nos dados do terceiro ciclo.
O momento de inércia (I) da seção transversal, expresso em milímetros à quarta potência (mm4), é dado pela seguinte equação:
Onde, D é o diâmetro externo médio do colmo, expresso em milímetros (mm); d é o diâmetro interno médio do colmo, expresso em milímetros (mm).
Diâmetro externo médio do colmo:
Diâmetro interno médio do colmo:
A resistência à flexão (fm), em megapascals, é dada pela seguinte equação:
Onde, D é o diâmetro externo médio do colmo, obtido nas proximidades do local de ruptura, expresso em milímetros (mm) e i é o momento de inércia da seção transversal, obtido nas proximidades do local de ruptura, expresso em milímetros quarta potência (mm4).
Carga máxima de flexão:
Distância "a" indicada na Figura 1:
Diâmetro externo médio do colmo:
Momento de inércia nas proximidades do local de ruptura:
O módulo de elasticidade à flexão (Em), em megapascals, é dado pela seguinte equação:
Onde, ΔP é o incremento de carga (P50% - P10%), expresso em newtons (N); Δδ é o incremento de deflexão correspondente ao incremento de carga (ΔP), expresso em milímetros (mm); a é a distância entre o ponto de aplicação da carga e o apoio mais próximo, expressa em milímetros (mm); L é a distância entre os apoios, expressa em milímetros (mm); I é o momento de inércia da seção transversal, expresso em milímetros à quarta potência (mm4).
Incremento de carga (P50% - P10%):
Incremento de deflexão correspondente ao incremento de carga (ΔP):
Distância "a" indicada na Figura 3:
Distância "L" entre centro a centro do apoio (ver Figura 1)
Momento de inércia nas proximidades do local de ruptura:
Este método de ensaio consiste na obtenção da resistência ao cisalhamento paralelo às fibras. Determina-se a resistência ao cisalhamento por deslocamento relativo entre as partes do corpo de prova comprimidas por placas rígidas defasadas entre si.
Máquina universal de ensaios e instrumentos de medição dimensional, conforme descrito na seção Métodos de Ensaio.
O corpo de prova deve ser um segmento de colmo de bambu com comprimento igual a 1,5 vezes a espessura da parede (t), com um comprimento mínimo de 1,5 cm. O corpo de prova deve ter seção transversal anelar e as extremidades devem ser planas e perpendiculares ao eixo longitudinal. O corpo de prova deve estar livre de nós.
Para o ensaio de cisalhamento, o corpo de prova deve ser cortado longitudinalmente em duas partes iguais, conforme a Figura 1. A superfície de corte deve ser plana e paralela ao eixo longitudinal.
Para determinação da área da seção de cisalhamento, deve-se medir o comprimento (L) e a espessura da parede (t) do corpo de prova, com a precisão estabelecida na seção Métodos de Ensaio. As medições devem ser feitas em quatro posições, a cada 90°, nas duas extremidades do corpo de prova. A área da seção de cisalhamento deve ser calculada como a média das oito medições.
A amostra deve ser posicionada no equipamento de ensaio, de modo que o centro do prato móvel da máquina de ensaio esteja verticalmente acima do centro da seção transversal do espécime. A amostra deve também ser centrada em relação aos dispositivos de apoio e de carga. Uma pequena carga de não mais de 1 kN é inicialmente aplicada para acomodações. A carga deve ser aplicada de forma contínua durante o ensaio, com velocidade de deslocamento de aproximadamente 0,01 mm/s (0,6 cm/min).
A carga máxima (Pmax) deve ser registrada.
A resistência ao cisalhamento paralelo às fibras (fv0), expressa em megapascals (MPa), é dada pela seguinte equação:
Onde, Pmax é a carga máxima de cisalhamento, expressa em newtons (N); L é o comprimento do corpo de prova, expresso em milímetros (mm); t é a espessura da parede do corpo de prova, expressa em milímetros (mm).
Carga máxima de cisalhamento:
Comprimento do corpo de prova:
Espessura da parede do corpo de prova:
Este método de ensaio consiste na determinação da resistência à tração paralela às fibras em corpos de prova retirados de partes do colmo de bambu. Determina-se a resistência à tração paralela às fibras pela aplicação de uma carga gradualmente no corpo de prova.
Máquina de ensaios capaz de aplicar carga de tração com velocidade constante e medir a carga com precisão de 1% da carga máxima esperada, e instrumentos de medição dimensional, conforme descrito na seção Métodos de Ensaio.
O corpo de prova deve ser retirado da parede do colmo de bambu, com seção transversal retangular, conforme a Figura 1. O corpo de prova deve ser usinado de forma que a largura na região central seja menor que a largura nas extremidades, para garantir a ruptura na região central. As dimensões do corpo de prova devem ser: comprimento total de 20 cm, comprimento da região central de 6 cm, largura na região central de 1 cm, largura nas extremidades de 2 cm e espessura igual à espessura da parede do colmo.
Para determinação da área da seção transversal do corpo de prova, deve-se medir a largura (b) e a espessura (h) na região central, com a precisão estabelecida na seção Métodos de Ensaio. As medições devem ser feitas em três pontos, no centro e nas extremidades da região central. A área da seção transversal deve ser calculada como a média das três medições.
Para o cálculo do módulo de elasticidade à tração, deve ser utilizado um sistema de medição de deformação com precisão de 0,001 mm. A base de medição deve ser de, no mínimo, 5 cm.
O corpo de prova deve ser fixado nas garras da máquina de ensaios, de forma que a carga seja aplicada axialmente. A carga deve ser aplicada continuamente, com velocidade de carregamento constante de, aproximadamente, 0,01 mm/s. A carga máxima (Pmax) deve ser registrada.
Para o cálculo do módulo de elasticidade, a carga deve ser aplicada até 60% da carga máxima estimada (Pest). Recomenda-se que o ensaio seja realizado em três ciclos de carga e descarga. No primeiro ciclo, a carga deve ser aplicada até 60% da Pest e, em seguida, descarregada até 10% da Pest. No segundo e terceiro ciclos, a carga deve ser aplicada e descarregada da mesma forma. O módulo de elasticidade deve ser calculado com base nos dados do terceiro ciclo.
As extremidades do corpo de prova podem ser reforçadas com lâminas metálicas ou lâminas de bambu coladas firmemente, para facilitar prendê-lo nas garras do aparelho de ensaio. Não podem ser considerados resultados quando a ruptura ocorrer na região das garras.
Para determinar o módulo de elasticidade à tração, devem ser registradas as deformações correspondentes às cargas de 10% e 60% da carga máxima estimada (Pest).
A área da seção transversal (A) do corpo de prova, expressa em milímetros quadrados (mm2), é dada pela seguinte equação:
Largura média da região central:
Espessura média da região central:
A resistência à tração paralela às fibras (ft0), expressa em megapascals (MPa), é dada pela seguinte equação:
Onde, Pmax é a carga máxima de tração, expressa em newtons (N); A é a área da seção transversal do corpo de prova, expressa em milímetros quadrados (mm2).
Carga máxima de tração:
Área da seção transversal:
O módulo de elasticidade à tração paralela às fibras (Et0), expresso em megapascals (MPa), é determinado no intervalo de carga entre 20% e 60% da tensão de ruptura, conforme a seguinte equação:
F60 é a força correspondente a 60% da carga de ruptura no ensaio e F20 é a força correspondente a 20% da carga de ruptura no ensaio, ambas expressas em newtons (N);
L0 é o comprimento inicial da base de medição (distância entre os pontos de referência do extensômetro), expresso em milímetros (mm);
A é a área da seção transversal do corpo de prova na região central, expressa em milímetros quadrados (mm²);
ΔL é a variação no comprimento da base de medição devido ao incremento de carga (F60 - F20), expressa em milímetros (mm).
Força correspondente a 60% da carga de ruptura:
Força correspondente a 20% da carga de ruptura:
Comprimento inicial da base de medição:
Área da seção transversal:
Variação no comprimento da base de medição (ΔL):